Be The First One To Give A Solution

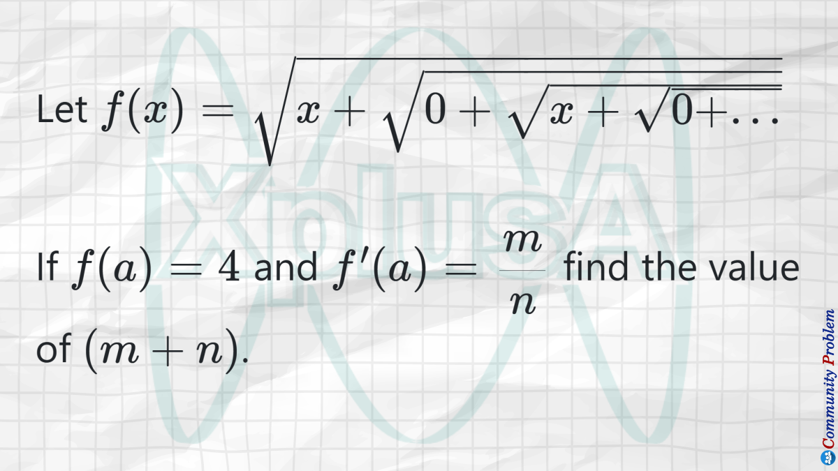
image containing math problem statement
This is an open question and does not have a solution yet. Can you provide a solution for others to use?
Problem submitted by debroy0611
Note: The solution editor can be access through desktop/laptop/tablet only. Editing question/solution is not supported on mobile devices.